第一章
1.1 数制转换:
==全是带小数部分的题==
1.1.1 十进制数写成幂的形式:
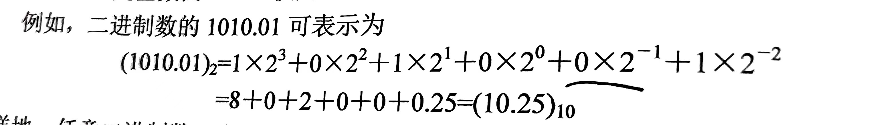
1.1.2 二进制带小数部分转换十进制
1.1.3 十进制带小数部分转换二进制
1.1.4 二进制带小数转换八进制/八进制带小数转二进制
1.1.5 二进制带小数部分转十六进制/十六进制带小数部分转二进制
1.2 编码
1.2.1 8421码
==针对十进制数,先全部化成十进制数,再把十进制数化成二进制==
8421码的计算以及余三码的计算
第二章
==①反函数、对偶、卡诺图、求最小项==
2.1 对偶式
2.2 求最小项
2.3 卡诺图
2.4 异或\同或
注意简单能够认识这两个的电路表示图
2.4.1 同或
==定义:指两个输入变量取值相同时输出1,取值不相同输出0,其运算符号为⊙==
2.4.2 异或
==定义:指两个输入变量取值相同时输出为0,取值不相同时输出为1,其运算符号为⊕==
2.5 转换非门
2.5.1 与非门实现非门
2.5.2 或非门实现非门
2.5.3 同或门实现非门
2.5.4 异或门实现非门
第四章
编码器:对M个信号编码时,应如何确定位数N?
编码原则:N位二进制代码可以表示$2^N$个信号,则对M个信号编码时,应由$2^N≥M$来确定位数N。
例:对101键盘编码时,采用了7位二进制代码ASCⅡ码。$2^7=128>101$
==译码器==
当 i 不等于 j 时,同一逻辑函数的两个最小项 ( m_i ) 和 ( m_j ) 的逻辑与 $( m_i \cdot m_j )$ 等于 0。这是因为每个最小项代表了一组特定的输入变量的状态,当这些状态不同时,不可能同时满足两个最小项的条件,因此它们的逻辑与结果是假(0)。
==数据选择器==
第五章
同步触发器
JK触发器
边沿D触发器
第六章
==同步时序逻辑电路的分析举例:==
①:写相关方程
②时钟方程
==74LS161芯片进行计数:==
清零法
置数法
同步预置法
==单向移位寄存器==
第八章
数/模转换
第九章
寄存器:
RAM:具有随机存取的功能
ROM:只具备只读的功能
74LS153芯片:判奇判偶
收藏
扫描二维码,在手机上阅读
推荐阅读:
















